Os erros mais comuns que eliminam medalhistas na OBMEP
Os erros mais comuns que eliminam medalhistas na segunda fase da OBMEP — e como evitá-los OBMEP · Segunda Fase
Continue lendoOs erros mais comuns que eliminam medalhistas na segunda fase da OBMEP — e como evitá-los OBMEP · Segunda Fase
Continue lendo7 Estratégias de Última Hora para Arrasar na Segunda Fase da OBMEP 7 Estratégias de Última Hora para Arrasar na
Continue lendo📐 Geometria Plana — Ângulos Suplementares Dois ângulos são suplementares, e um deles mede 120°. Qual é a medida do
Continue lendo📈 Porcentagem — Aumento Sucessivo Um produto teve um aumento de 10% em janeiro e outro aumento de 20% em
Continue lendoElementos do Cilindro — Matemática Hoje Elementos do Cilindro O cilindro é um sólido geométrico amplamente utilizado em situações do
Continue lendoA matemática por trás das eleições: entenda como funcionam as pesquisas e margens de erro Pesquisas eleitorais são fotografias de
Continue lendoFórmulas do Cilindro: Área da Base, Área Lateral, Área Total e Volume (com exemplos e exercícios) Fórmulas do Cilindro —
Continue lendoTransformações de Funções (Translações): guia completo com exemplos e exercícios Transformações de Funções: translações no eixo x e no eixo
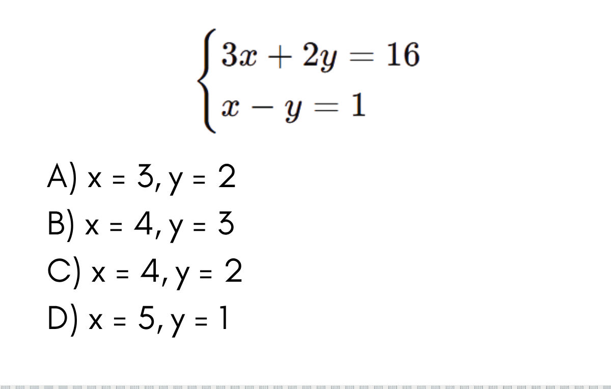
Continue lendo🧩 Sistemas Lineares — Resolução por Substituição Resolva o sistema: \[ \begin{cases} 3x + 2y = 16\\ x – y
Continue lendo🧮 Geometria Espacial — Volume do Cone Um cone tem altura \(h=9\) cm e raio \(r=4\) cm. Calcule o volume
Continue lendo