Moda estatística: a pegadinha que quase todo mundo erra
👀 Ver solução passo a passo 1. Identificando os dados: 2, 4, 4, 6, 6, 8 2. Entendendo o conceito:
Continue lendo👀 Ver solução passo a passo 1. Identificando os dados: 2, 4, 4, 6, 6, 8 2. Entendendo o conceito:
Continue lendo👀 Ver solução passo a passo 1. Organizando os dados: 3, 8, 5, 10, 4 → 3, 4, 5, 8,
Continue lendo👀 Ver solução passo a passo 1. Identificando os dados: Notas: 5, 7, 9, 9 2. Fórmula da média: Média
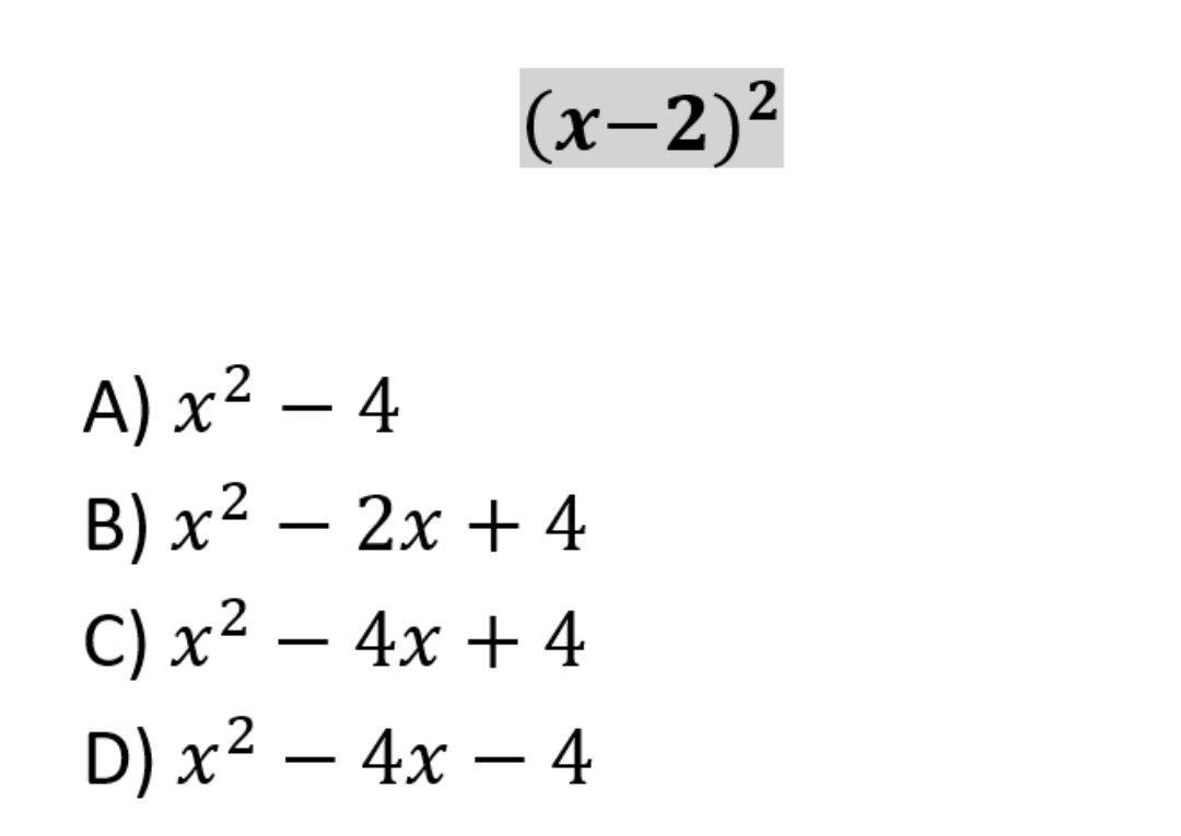
Continue lendo👀 Ver solução passo a passo 1. Identificando o tipo de expressão: Temos um quadrado da diferença: (a – b)²
Continue lendo👀 Ver solução passo a passo 1. Identificando os dados: Base maior = 10 cm Base menor = 6 cm
Continue lendo👀 Ver solução passo a passo 1. O paralelogramo possui: base = 12 cm altura = 5 cm 2. A
Continue lendo👀 Ver solução passo a passo 1. Ao lançar uma moeda duas vezes, temos os possíveis resultados: (cara, cara), (cara,
Continue lendo👀 Ver solução passo a passo 1. A equação dada é: x² – 4x – 5 = 0 2. Identificando
Continue lendo👀 Ver solução passo a passo 1. Um número primo possui exatamente dois divisores: 1 e ele mesmo. 2. Analisando
Continue lendo👀 Ver solução passo a passo 1. Regra de divisibilidade por 9: Um número é divisível por 9 quando a
Continue lendo