O cálculo algébrico é uma das bases fundamentais da matemática, envolvendo a manipulação de expressões que contêm letras e números. Através dessas operações, podemos simplificar equações, resolver problemas e modelar situações do mundo real. Nesta lista de exercícios, você terá a oportunidade de praticar dois tópicos essenciais dentro do cálculo algébrico: expressões algébricas e operações com polinômios. Cada seção foi elaborada para reforçar sua compreensão e habilidades nesse campo. Dedique-se a resolver cada exercício com atenção, revisando os conceitos sempre que necessário.
01 – Na sequência dos inteiros quadrados perfeitos 1, 4, 9, 16, 25, …, ?, A expressão do n-ésimo termo é:
a) 2 n
b) n²
c) 2n
d) nn
[toggle title=’Ver Solução’ ; toggle title_font_size=’20px’]

[/toggle]
02 – Para x = -2 e y = -1, o valor de

é:
a) inexistente
b) 6
c) 0
d) -6
[toggle title=’Ver Solução’ ; toggle title_font_size=’20px’]

[/toggle]
03 – Em qual das alternativas o valor numérico de

é 0?
a) a = -1
b) a = 0
c) a = 1
d) a = 2
[toggle title=’Ver Solução’ ; toggle title_font_size=’20px’]

[/toggle]
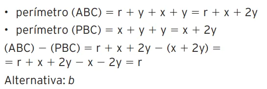
04 – A diferença entre o perímetro do triângulo ABC e o do triângulo PBC é:

a) x
b) r
c) y
d) x + r
[toggle title=’Ver Solução’ ; toggle title_font_size=’20px’]

[/toggle]
05 – A expressão 2xy – 3x – (2x – 3xy) equivale a:
a) -xy – 5x
b) -xy – x
c) 5xy – 5x
d) 5xy – x
[toggle title=’Ver Solução’ ; toggle title_font_size=’20px’]

[/toggle]
06 –

[toggle title=’Ver Solução’ ; toggle title_font_size=’20px’]

[/toggle]
Figura para os testes 7 e 8:

07 –O perímetro do retângulo é:
a) 6x + 16
b) 6x + 8
c) 3x + 8
d) 3x + 16
[toggle title=’Ver Solução’ ; toggle title_font_size=’20px’]

[/toggle]
08 – A área do retângulo é:
a) 2x2 + 15
b) 2x2 + 8x + 15
c) 2x2 + 11x + 15
d) 2x2 + 13x + 15
[toggle title=’Ver Solução’ ; toggle title_font_size=’20px’]

[/toggle]
Figura para os testes 9 e 10:

09 – O perímetro do retângulo BDFH é:
a) 8x + 4
b) 12x + 4
c) 12x + 8
d) 16x + 4
[toggle title=’Ver Solução’ ; toggle title_font_size=’20px’]

[/toggle]
10 – A área do triângulo ABC é:
a) x2 + 1/2x
b) x2 + x
c) 2x2 + x
d) x2 + 1
[toggle title=’Ver Solução’ ; toggle title_font_size=’20px’]

[/toggle]
Exercícios 02 de Cálculo Algébrico com Solução: Expressões e Operações com Polinômios






