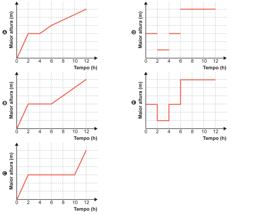
Questão 18
Um tanque em forma de paralelepípedo é abastecido por 12 horas com vazão constante. No interior do tanque, há dois anteparos verticais formando três compartimentos. O primeiro anteparo tem altura \( \frac{H}{2} \) e o segundo \( \frac{3H}{4} \).

O gráfico que representa a maior altura da coluna de água, ao longo do tempo, é:

- A) Gráfico A
- B) Gráfico B
- C) Gráfico C
- D) Gráfico D
- E) Gráfico E
Etapas do enchimento:
- 0 a 4h: água sobe até \( H/2 \) no primeiro compartimento (atinge o topo do primeiro anteparo).
- 4 a 8h: água se espalha pelo segundo compartimento, que enche até \( 3H/4 \), mas a maior altura permanece em \( H/2 \).
- 8 a 12h: terceiro compartimento é atingido, e a maior altura cresce até \( H \).
Esse comportamento corresponde ao Gráfico B.
Resposta correta: alternativa B
[/toggle]











